Categorie: Fisica Storia della Scienza
Tags: 137 alfa costante di struttura fine elettromagnetismo interazione tra particelle messaggi per alieni relatività. Meccanica Quantistica
Scritto da: Vincenzo Zappalà
Commenti:11
137... e l'Universo fu ! **
Paul Dirac ebbe a dire: “Questo numero rappresenta il più fondamentale problema irrisolto della fisica”
Wolfang Pauli disse: “Quando morirò la mia prima domanda che farò al diavolo sarà chiedere qual è il significato della costante di struttura fine”.
Richard Feynman dichiarò: “ Qualsiasi studioso di fisica teorica dovrebbe appendere questo numero sul muro davanti a lui e guardarlo con preoccupazione”.
Stiamo parlando della costante di struttura fine che è rappresentata da un numero apparentemente casuale: 1/137 (circa). Prima di valutare la sua importanza eccezionale, vediamo come è nato.
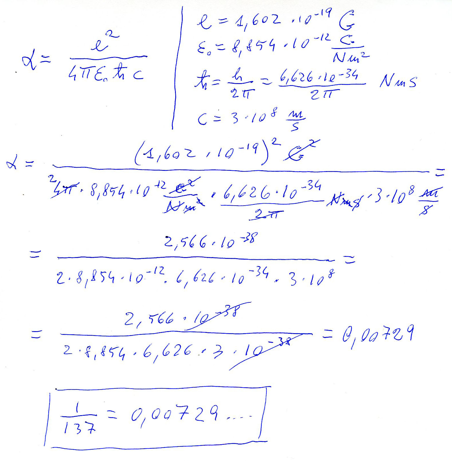
Dobbiamo dire grazie (o accidenti…) ad Arnold Sommerfeld che, sapendo che le linee spettrali singole dell’idrogeno non erano in realtà singole ma si sdoppiavano, concluse che il modello di tipo planetario dell'atomo di Bohr doveva essere rivisto. Ricordiamo che questo modello, sicuramente geniale, era il primo ad usare la quantizzazione dell’energia e implicava che quando un atomo veniva eccitato comparivano righe spettrali ben definite e separate, dipendenti dal livello energetico degli elettroni.
In altre parole, gli elettroni potevano saltare solo a livelli di energia ben fissati e non continui. Un modello fondamentale, ma non ancora perfetto. Sommerfeld ebbe l’intuizione di pensare che le orbite degli elettroni potessero essere anche ellittiche e non solo circolari come previsto da Bohr e inoltre che le loro velocità erano così elevate da non poter evitare le correzioni relativistiche. In conclusione, determinò che esistevano dei sottolivelli energetici per gli elettroni che venivano descritti da una costante che legava tra loro varie costanti fondamentali. Essa venne chiamata alfa ed è descritta da:
alfa = e2/4π ε0h c
Dove:
e è la carica elementare
ε0 è la permettività elettrica del vuoto
ℏ=h/2π è la costante di Planck ridotta
c è la velocità della luce nel vuoto
Questa costante è incredibilmente importante e praticamente unica, in quanto non dipende dal sistema di misura, essendo adimensionale. In poche parole, è una costante veramente universale. Tuttavia, potrebbe essere presa come una combinazione di costanti ormai ben note, scelte in modo da far sparire le varie unità di misura. In fondo lo è anche pi greco. Esso, comunque, rappresenta il rapporto puramente matematico tra due lunghezze e sappiamo bene come definirlo geometricamente nella descrizione della circonferenza. Ma alfa rappresenta qualcosa di ben più fondamentale.
Vediamo, allora, che cosa fa con esattezza questa costante, oltre che spiegare le righe spettrali multiple.
La forza di repulsione tra due elettroni è proprio 1/137 dell’energia di un fotone la cui lunghezza d’onda è pari alla distanza tra gli elettroni.
La velocità “orbitale” di un elettrone nel modello di Bohr è 1/137 della velocità della luce.
L’energia dello stato fondamentale dell’elettrone è uguale alla massa a riposo dell’elettrone moltiplicata per il quadrato di alfa.
Le interazioni tra particelle sono rappresentate molto bene dagli splendidi diagrammi di Feynman (descritti nella QED). Esiste una certa probabilità che essi avvengano in un certo modo o in un altro. Ovviamente, ciò dipende da varie grandezze fisiche, ma, in ogni caso, la migliore probabilità che un elettrone emetta o assorba un fotone dipende direttamente dal valore della costante alfa.
In breve, la costante alfa descrive l’interazione tra particelle cariche.
Guardiamo la faccenda in modo meno tecnico e cerchiamo di capire quali ripercussioni ha sull’atomo e sull’intero micro e macrocosmo.
Immaginiamo un valore un po' più alto per alfa. Ciò vorrebbe dire avere un atomo in cui il nucleo e gli elettroni sarebbero molto più legati tra loro. Ma elettroni con minore probabilità di allontanarsi metterebbe in serio rischio qualsiasi reazione chimica. Le nostre cellule non riuscirebbero a spezzarsi e il resto diventa ovvio.
Se, invece, alfa fosse più piccola di quanto è adesso, porterebbe gli elettroni ad essere più liberi nei movimenti e gli atomi stessi e le molecole sarebbero meno stabili. Pensate alla maggiore libertà delle particelle nucleari e quanta fatica farebbero per mantenere uniti i nuclei più pesanti. Sarebbe ben difficile formare elementi in cui certi legami possano mantenersi. In particolare gli elementi organici che formano catene molto complesse. Niente DNA, ad esempio.
Si è inoltre provato che se alfa fosse solo il 4% più grande, le stelle non potrebbero formare il carbonio e l’ossigeno, a causa delle condizioni estremamente delicate del processo tre alfa, ossia quello capace di formare carbonio e ossigeno nelle stelle in avanzata evoluzione. Questo processo, infatti, dipende fortemente dai livelli energetici dei nuclei atomici collocati nel punto e con il valore necessario. Livelli energetici e costante alfa sono strettamente legati. E questo fatto la dice lunga sulla possibilità di creare e mantenere la vita!
Tutto ciò porta l’importanza di alfa, e la sua vera ragione di essere costante, a problemi anche di tipo filosofico e religioso. Ammettiamo pure che il valore delle costanti fondamentali fosse stato del tutto casuale al momento del Big Bang. Per quale motivo durante l’evoluzione dell’Universo vi sarebbe stato una scelta così efficace per formare la vita? Qualcuno potrebbe dire che questa era la motivazione principale fin dall’inizio, qualcun altro potrebbe, invece, dire che sarebbero possibili altri tipi di Universo, che probabilmente esistono e in cui la parola “vita” potrebbe avere un significato del tutto diverso o magari anche "nessuno".
La adimensionalità di alfa e il suo stretto legame con tutta la fisica da quella del micro a quella del macro fa apparire il famoso messaggio di Arecibo una specie di quiz insolubile (e inutile).

Riconoscere la doppia elica del DNA così come la raffigurazione di un telescopio (in viola) sono risultati incomprensibili a molti scienziati terrestri. Sarebbe stato altrettanto ridicolo inviare i valori delle costanti della fisica che sono espresse in sistemi di misura del tutto peculiari della nostra razza. Cosa saranno mai il metro, il chilo, le distanze, il secondo, per razze aliene?
Ben diversa sarebbe l’invio della costante alfa che non soffre di problemi dimensionali e che sarebbe stata trovata da tutti coloro che fossero arrivati alla descrizione dell’atomo e di tutta la fisica e chimica in generale. Non solo… La costante alfa permette di legare insieme le altre costanti fondamentali, ossia quelle relazioni che sarebbero conosciute anche se descritte con unità diverse. Conoscere queste relazioni con altri linguaggi porterebbe comunque a trovare alla fine lo stesso legame speciale. Alfa può essere intesa come la relazione tra le relazioni, indipendentemente dal sistema usato per descriverle.
Lo stesso Feynman ebbe a dire che Dio stesso aveva scritto questo numero. Alfa è il messaggio più sintetico per rappresentare la vita. Ma, purtroppo, dopo un secolo dalla sua scoperta , non si ha ancora la minima idea di come il tutto sia articolato e predisposto nel nostro Universo. Chissà se proprio alfa potrebbe risolvere un giorno la relazione che soddisfa la grande unificazione tra MQ e RG.
A questo riguardo, basta pensare ai parametri che la formano: velocità della luce (relatività), carica dell’elettrone (elettromagnetismo), costante di Planck (Meccanica Quantistica). Il tutto unito in un'unica relazione capace di descrivere l’intero Universo. Magari è già stato “predisposto” che la vita non possa mai capirlo. Una certa variabile è nascosta e non si vuole che si giunga alla sua conoscenza. O magari, invece, basta conoscere quel numero per capire tutte le leggi dell’Universo. Per adesso non sappiamo come risolvere questo problema fondamentale. Magari fin dall’inizio è stato “deciso” un numero solo, ma sufficiente a dirigere tutte le altre costanti verso l’Universo attuale.
Sono stati fatti molti tentativi per capire come sia possibile che esista una costante capace di spiegare tutte le interazioni del microcosmo e le loro ricadute sul macrocosmo. e sulla VITA in particolare. Tra i tanti, è interessante quello che ricorda come, secondo la relatività, l’elemento 137 è proprio quello in cui la velocità dell’elettrone nello stato fondamentale è pari alla velocità della luce. Interessante… sì, ma come spiegare questo strano legame? Per adesso si resta nel buio più assoluto.
Per finire… alfa è una costante solo in un dato tempo o è sempre stata la stessa? Alcune osservazioni dei quasar più lontani hanno fatto pensare a un suo valore più piccolo dell’ordine della sesta cifra decimale, ma altri tentativi hanno dato esito negativo. Insomma, la sorte dell’Universo (il nostro almeno) sembra sia stato deciso fin da subito e non ha avuto bisogno di “aggiustamenti” posteriori.
Forse tutto è stato deciso da un colpo di fortuna. D’altra parte se alfa fosse stata anche di pochissimo diversa noi non potremmo essere qui a parlarne. In altre parole, avessimo puntato sullo zero alla roulette e fosse proprio uscito lo zero avremmo avuto fortuna, ma poteva uscire qualche altro numero tra 1 e 36.
Per scherzare un poco, poteva anche darsi che il Creatore fosse un po' pigro e poco fantasioso, come fa notare questo breve racconto che avevo scritto qualche anno fa, a cui ho aggiunto una frase finale...
FANTASIA
Finalmente eravamo pronti a viaggiare tra le stelle e a cercare altre forme di vita. L’astronave “Life” era saldamente ancorata sulla base di lancio lunare e sembrava fremere nell’attesa di lanciarsi verso la galassia sfruttando i motori neutrinici ideati dal grande scienziato Boris Pastosky solo vent’anni prima. La velocità della luce non era più un problema e nemmeno le deformazioni spazio-temporali.
Tutti i capi di stato della Terra si erano recati sul nostro satellite per la grande cerimonia. Vi furono discorsi e spettacoli fantasmagorici, mentre i 57 membri dell’equipaggio dormivano nelle loro camere insonorizzate nell’attesa del giorno dopo. Tra loro vi erano gli astronauti più esperti, ma anche astronomi, fisici, botanici, medici, biologi, psicologi, letterati, teologi, ecc... ecc.... Nella speranza del primo incontro dovevamo essere preparati al meglio.
Alle 10:30 del mattino successivo, ora di Washington, capitale mondiale, l’astronave lasciò la Luna verso la più emozionante avventura della storia dell’umanità. La rotta era stata studiata con precisione quasi millimetrica. Doveva toccare 328 stelle simili al Sole, con pianeti alla giusta distanza per essere considerati abitabili. Tra questi ci sarebbe stato sicuramente un nostro “fratello”. Le stelle erano distribuite omogeneamente in tutta la galassia e avrebbe permesso di non tralasciare nessun angolo “nascosto”.
Superati in un attimo decine e decine di anni luce, la “Life” incontrò il suo primo obiettivo. La stella era tranquilla ed il quarto pianeta aveva un aspetto invitante. Purtroppo era deserto, anche se i suoi continenti erano circondati da immensi specchi d’acqua azzurra. Non si poteva certo pretendere che il primo tentativo fosse già un successo. E poi eravamo ancora troppo vicini. Se ci fosse stata vita ce ne saremmo probabilmente già accorti dalla Terra. Passarono i mesi, senza novità di rilievo, e si arrivò finalmente alla stella numero 34, distante parecchia centinaia di anni luce. Di nuovo, la stella era ottima, praticamente un sosia del nostro Sole. Anche il terzo pianeta sembrava molto simile all’amata Terra.
La “Life” si diresse senza indugio verso di esso. Mano a mano che si avvicinava, l’equipaggio ammutolì completamente. Non solo il nuovo mondo era somigliante al nostro, ma era praticamente identico! Si vedevano chiaramente l’Asia, l’Europa, L’America, i ghiacci dei poli. Tutto coincideva perfettamente. Il capitano cominciò a sudare freddo. Come aveva potuto sbagliare in questo modo la rotta ed essere tornato al punto di partenza?
Poi guardò le stelle di riferimento tutt’attorno. Meno male! Non erano certo quelle vicine al Sole. Eravamo proprio nel punto previsto dal piano di viaggio. Il problema a questo punto non era più suo, ma dei cervelloni della spedizione. Qualcuno cominciò a bofonchiare qualcosa, poi ci fu solo un caos indescrivibile. Il capo della delegazione scientifica dovette urlare per riportare il silenzio, coadiuvato dai militari.
Passarono vicinissimi all’unico satellite (avrebbero potuto chiamarla Luna senza alcun problema) e si diressero verso gli Stati Uniti e la città che sorgeva esattamente nel luogo dove da noi si trova Washington. Atterrarono davanti alla Casa Bianca …
Tutt’attorno il traffico automobilistico si era fermato e migliaia di persone si affollavano trattenute da cordoni di poliziotti. L’equipaggio scese in un silenzio quasi irreale. Sembrava proprio Washington ed anche il caldo afoso era lo stesso. Non avevano certo bisogno di tute protettive. Si fermarono davanti alla loro nave, in attesa, incrociando gli occhi con quelli degli spettatori, altrettanto sgomenti e meravigliati. Se non fosse stato il momento più importante nella storia dell’umanità sarebbe stata una situazione di surreale comicità.
Poi apparve il Presidente degli Stati Uniti seguito dai suoi più stretti collaboratori. E quando si dice “il Presidente” si dice proprio lo stesso “Presidente” dei nostri “Stati Uniti”. E anche i collaboratori erano gli stessi…
L’uomo più potente del nuovo mondo respirò profondamente e poi parlò in perfetto inglese americano: ”Salve stranieri del Cosmo. La Terra vi dà il benvenuto!” E tese la mano verso l’anziano capo spedizione, uno psichiatra insigne che in quel momento sembrava avere assoluto bisogno di una seduta. “Sa-salve …”, balbettò l’autorevole personalità e vide che il Presidente lo guardava attentamente e con crescente meraviglia. Fu lui questa volta a balbettare: ”Ma, ma le-lei è il pro-professor Keaton, dell’Università di Chicago?!” Da ambo le parti si sarebbe sicuramente voluto che in quel momento qualcuno urlasse: ”Lo scherzo è finito!”. E invece il silenzio continuò a regnare sovrano.
Lo psicologo professor Keaton si riprese per primo: “Scusi, signor Presidente, ma siamo noi che veniamo dalla Terra. E questa è la nostra capitale mondiale”. Il capo di stato cominciò a spazientirsi visibilmente: “La prego di non scherzare oltre. Noi siamo sulla Terra e questi sono gli Stati Uniti d'America!”. Non avrebbe mai pensato che i primi visitatori alieni fossero soltanto dei buontemponi. Non gli sembrava il caso di metterla sul ridere in un momento così epico. Poi finalmente prese voce il geografo della spedizione: “E scommetto che dall’altra parte dell’Oceano Atlantico c’è l’Europa? E poi l’Asia?”. Il Presidente rimase a bocca aperta: coma facevano a sapere tutte quelle cose sulla Terra? Forse si erano preparati a lungo su di loro e tutta quella messinscena rappresentava il subdolo preliminare di un devastante attacco militare? Bastò un’occhiata e si fece avanti un generale con alcuni chili di medaglie sul petto, che venne immediatamente fronteggiato dal suo collega sceso dall’astronave. I due si scambiarono sguardi di fuoco, ma vennero prontamente fermati dal resto dell’equipaggio prima che venissero alle mani e facessero precipitare una situazione già di per sé abbastanza critica.
Poi, fortunatamente, presero la parola i biologi, i letterati, gli artisti, gli astronomi, i botanici. La situazione si rilassò, ma non certo lo stupore. Raffaello era conosciuto da entrambi e così pure gli elefanti e i leoni. Per non dire di Dante Alighieri e di Shakespeare e delle querce e degli abeti. La meraviglia era sempre più grande, ma anche l’interesse reciproco. Stava forse nascendo un dialogo?
Proprio in quel momento si sentì un rumore di tuono e tutti volsero gli occhi verso l’alto. Stava scendendo un’astronave. Appena toccò terra ne uscirono una cinquantina di uomini, il cui capitano dall’aspetto non nuovo, esclamò immediatamente: “Salve fratelli alieni! Noi veniamo dal pianeta Terra”.
Mentre la maggior parte dei presenti sveniva o dava fuori di senno, miliardi e miliardi di anni luce più lontano, i tre barbuti assistenti, vestiti di bianco, osservavano la scena scuotendo la testa. Il più vecchio mormorò: “Grande capacità organizzativa e grande tecnica costruttiva il nostro capo... Un vero Dio! Ma fantasia proprio niente. Gliel'avevo detto di usare il 137 ma lui si è voluto accontentare del numero 1.




11 commenti
Bravo Enzone, vedi che se ti impegni trovi di che scrivere, ahahahahah.
Per la cronaca ha pubblicato un video anche currios sul 137. Forse gli hai fatto tu da consulente.
Si potrebbe pensare che a furia di provare si e' azzeccato il valore giusto, senza bisogno di alcun architetto. La vera questionee e' dove cavolo hanno messo tutti gli universi, potenzialmente infiniti, che han tentato, ahahaha.
Magari lo si e' preso al primo tentativo.
carissimo,
ho dovuto tirare fuori questa costante per risvegliarti!!
In realtà, avevo scritto un raccontino sul CREATORE che si avvale di assistenti per fare i tentativi, Uno si addormenta e non ferma la macchina che è così andata avanti . Lui se ne accorge, lo trova disgustoso, ma purtroppo ormai si era giunti alla vita. Conclusione? Un bel Giudizio Finale!
Fantastico articolo, caro professor Enzo, su una cosa di cui non avevo mai sentito parlare.
La prova che potresti insegnarci tante altre belle cose (personalmente ho una preferenza per la MQ e dintorni) in attesa di qualche notizia interessante (speriamo) in campo astronomico. Ricordati che seguo sempre e spesso vado a rileggermi vecchi articoli per capire quelli nuovi!
grazie Sary! speriamo... e cerchiamo altre vicende del nostro Universo, augurandoci (forse) che non ne esistano molti altri
Grazie Enzo per l'articolo e grazie d'aver risvegliato il carissimo Frank!
Talvolta penso che basterebbe una piccola fluttuazione del valore di alfa, anche transitoria, e TUTTO finirebbe ancor prima che potessimo accorgercene, persino prima che nel finale immaginato da Asimov ne "I nove miliardi di nomi di Dio".
grande racconto!
Sulla scorta del racconto di Enzo.....buon Natale a tutte le multi-Terre....
Ciao Guido, non partecipavo ma seguivo anche se meno assiduamente, casini vari ahahahaha chi non ne ha....
Non mi ricordo di questo racconto di Asimov se mi riprendo dal torpore provo a cercarlo.
Poi magari lo leggo, ahahahahahahah.
Auguri a tutti gli avventori, anche dei blog duplicati.
Per i santommasi come me:
bene, bene, Albertone... ti sto preparando qualche conticino un po' più pepato!!
Guido, ecco perche' non me lo ricordavo:
I nove miliardi di nomi di Dio (The Nine Billion Names of God) è un racconto di fantascienza di Arthur C. Clarke pubblicato nel 1953, vincitore del premio Hugo per il miglior racconto breve.
Comincio con leggere la trama...... Ahahahahaah